新闻动态
1. 引言
酰胺在化学合成中有着非常广泛的应用,尤其是顺利获得缩合酰化制备酰胺,在实验室合成中使用频率很高,羧酸与胺的反应是合成酰胺的重要方法:这一反应是一个平衡反应,采用过量的反应物之一或除去反应中生成的水,均有利于平衡向产物方向转移。本文介绍了几种羧酸与胺的缩合酰化反应。
2. 酰胺缩合酰化的合成方法
2.1 混合酸酐氯甲酸酯法
主要应用羧酸与氯甲酸乙酯或异丁酯反应生成混合酸酐,而后再与胺反应得到相应的酰胺。这一反应如果酸的a-位位阻大或者连有吸电子基团,有时会停留在混合酸酐这一步。但加热可以促使其反应;这一反应也可用于无取代酰胺的合成。(图1)

图1
2.2 混合酸酐羰基二咪唑法
应用羰基二咪唑(CDI)与羧酸反应得到活性较高的酰基咪唑,许多酰基咪唑有一定的稳定性,有时可以分离出来。但一般来说其不用分离,反应液直接与胺一锅反应制备相应的酰胺;文献报道羰基二咪唑与三氟甲磺酸甲酯反应得到的二甲基化的三氟甲磺酸盐(CBMIT)的缩合性能更好。(图2)

图2
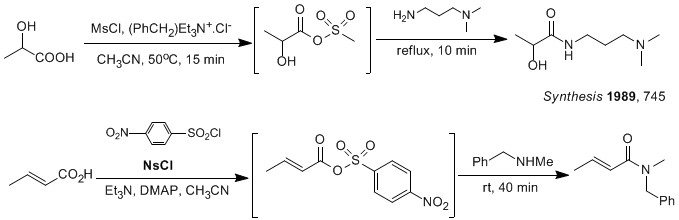
2.3 混合酸酐磺酰氯法
羧酸和磺酰氯生成羧酸-磺酸的混合酸酐,其与胺反应得到相应的酰胺【1】。常用的磺酰氯有甲烷磺酰氯(MsCl),对甲苯磺酰氯(TsCl)和对硝基苯磺酰氯(NsCl), 对硝基苯磺酰氯由于其吸电子性,其与酸反应生成活性更高的混合酸酐,一般二级胺和三级胺,甚至位阻很大的胺都能顺利反应。(图3)

图3
2.4 混合酸酐Boc酸酐法
顺利获得酸与Boc酸酐反应得到的混合酸酐与氨反应可得到相应的伯酰胺。(图4)


图4
2.5 碳二亚胺类缩合剂DCC缩合法
一般DCC和DMAP合用,使用DCC有一个最大的缺点就是反应的另一产物二环己基脲在一般的有机相溶解度很小但又都有一些微溶,因此顺利获得一些常用的纯化方法,重结晶,柱层析等等很难将其除的很彻底;由于二环己基脲在乙醚中的溶解度相对要比其他溶剂小, 因此处理这类反应一般蒸掉反应溶剂后加入乙醚,滤掉大部分的二环己基脲后再进一步处理。(图5)

图5
2.6 碳二亚胺类缩合剂DIC缩合法
DIC由于其产生的二异丙基脲在有一般的有机溶剂中溶解度较好,因此一般在组合化学的固相合成中用的较多。(图6)

图6
2.7 碳二亚胺类缩合剂EDCI缩合法
现在在药物化学中用的最多的是EDCI,其一个主要的特点就是其反应后的生成的脲是水溶性的,很容易被洗掉,一般EDCI与HOBt合用(注意:这一反应HOBt一般是缺不了的,否则有可能导致缩合产率太低)。(图7)

图7
2.8 碳鎓盐类的缩合剂法
现在常用的为O-(7-氮杂苯并三氮唑-1-基)-二(二甲胺基)碳鎓六氟磷酸盐(HATU)、O-(苯并三氮唑-1-基)-二(二甲胺基)碳鎓六氟磷酸盐 (HBTU)、O-(5-氯苯并三氮唑-1-基)-二(二甲胺基)碳鎓六氟磷酸盐(HCTU)、O-(苯并三氮唑-1-基)-二(二甲胺基)碳鎓四氟硼酸盐(TBTU)、O-(N-丁二酰亚胺基)-二(二甲胺基)碳鎓四氟硼酸盐(TSTU)、O-(N-endo-5-降莰烯-2,3-二碳二酰亚胺)-二(二甲胺基)碳鎓四氟硼酸盐(TNTU)等。(图8)

图8
HATU 是活性最高的碳鎓盐类缩合剂,经常是在其它缩合剂效果不好时用到它。HBTU 可以用于大多数缩合反应,然而其较低的收率是限制用于大量生产的主要原因。HCTU活性较高,可以代替HATU用于工业化生产,其高活性要归功于有更好活性的Cl-HOBt 中间体。TSTU 和 TNTU 可以用于含水溶剂的酰胺化反应。若将HATU和HBTU的二甲胺基变为四氢吡咯基可以得到活性比它们更高的O-(7-氮杂苯并三氮唑-1-基)-二(四氢吡咯基)碳鎓六氟磷酸盐(HAPyU)、O-(苯并三氮唑-1-基)-二(四氢吡咯基)碳鎓六氟磷酸盐(HBPyU)。
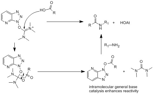
使用碳鎓盐缩合剂进行酰胺缩合,主要是顺利获得分子内的转移,一步得到相应的活性酯,以HATU的缩合反应为例,说明其反应机理。(图9)

图9
2.9 鏻鎓盐类的缩合剂
最早的为苯并三氮唑-1-基氧-三(二甲胺基)鏻鎓六氟磷酸盐 (BOP)试剂,该试剂由于产生致癌的六甲基磷酰胺(HMPA)副产物,因而近年来被活性更好的,不产生致癌的副产物的苯并三氮唑-1-基氧-三(四氢吡咯基)鏻鎓六氟磷酸盐 (PyBOP)所代替。(图10)

图10
PyBOP的是一个较为强的缩合剂,一般其他缩合剂缩合不好时常常用PyBOP可以得到更好的结果。比如PyBOP可用于将氨基酸与氯化铵缩合得到相应的氨基酰胺。(图11)

图11
2.10 有机磷类缩合剂
DECP常用于小量的多肽的合成,BOP-Cl特别适合与氨基酸的合成,其收率、消旋等都较好。但其缺点是,当胺的反应活性低时,常常得到酰化的唑烷。BOP-Cl 的溶解性较差,导致反应时间较长,有时会长达四五天,常用DMF做反应溶剂。(图12)

图12
应用DPP-Cl为缩合剂合成酰胺[2]:图13反应用DCC只有15%的收率,但用DPP-Cl可以得到94%收率。

图13
2.11 其他缩合剂
三苯基磷-多卤代甲烷[3]、三苯基磷-六氯丙酮[4]、三苯基磷-NBS[5]等也可以用于酰胺的缩合。(图14)

图14
有报道用DMTMM为缩合剂,反应可以在醇或水中反应。(图15)

图15
三苯基磷-六氯丙酮(图16), 三苯基磷-NBS(图17)也可用作合成酰胺。

图16

图17
参考文献:
[1] SJ Lau,JP Laussac,B Sarkar. Biochem J. 1989; 257(3): 745-750
[2] Böcker W , Dralle H , Hüsselmann H , Bay V , Brassow M. 1980; 385(2): 187–200.
[3] A Ignatious , J Rahul .1990; 232(2): 1105-1112.
[4] G B Villeneuve ,T H Chan.1997; 38: 6489–6492.
[5] Higuchi H, Shimizu K, Ojima J, Sugiura K.1995; 36: 5359-5362.
